中国大陆上南北环境的分异即暖温带与亚热带之间的差异,是横贯我国中部的昆仑-秦岭构造系所造成的巨大环境效应,但它并不是所谓的南北分界线向两侧等幅扩展的结果,而是一个特别的地理过渡带——南北过渡带。相较于南北分界线而言,“南北过渡带”这一概念能够更好地刻画和体现南北过渡的地理复杂性。
在南北过渡带中即暖温带落叶阔叶林和亚热带常绿阔叶林之间形成的较为宽广的常绿落叶阔叶混交林,是我国大陆上独特的地形和气候形成的过渡性植被。

图1.中国南北过渡带主体(秦岭——大巴山)植被调查样线及分段略图
中国科学院地理科学与资源研究所兼信阳生态研究院的研究员张百平与其合作者,根据比较系统的实地调查数据,对常绿阔叶和落叶阔叶木本物种的空间分布进行具体的地理分析,进一步揭示了我国南北过渡带的地理结构和植被的过渡性及地带性。

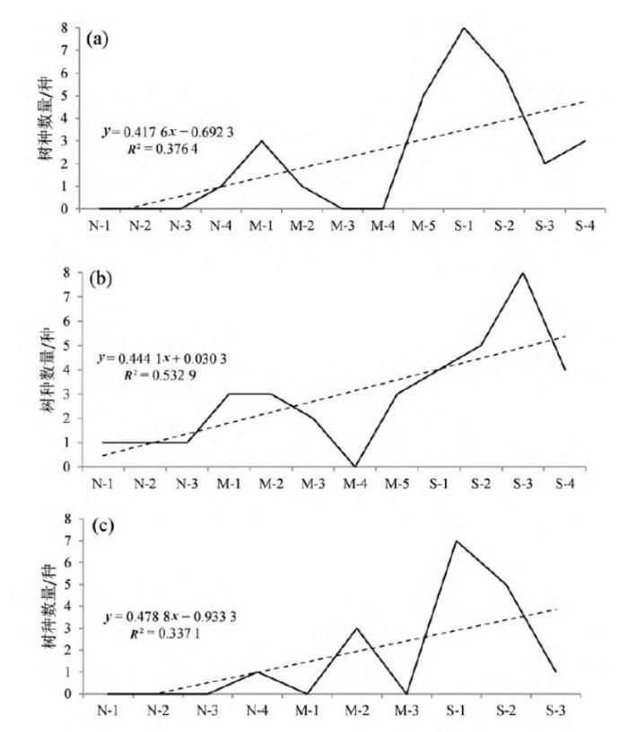
图2.秦巴山地东部(a),中部(b),西部(c)样线常绿阔叶林树种树的南北向变化
在研究中发现,即使是在过渡带最靠南、更温暖的湖北大别山区,常绿树种也仅见于海拔1000m以下,尤其是封闭沟谷等优越的立地条件上,且大别山对于常绿落叶阔叶混交林的研究具有重要意义。在东西方向上,随着自东向西海拔增高和降水减少,秦岭—大巴山常绿阔叶树种重要值呈现降低趋势,在大部分地段占比都比较低。
另外,南北过渡带植被的水平分异是区域气候长期作用的结果。在南北方向上,自秦岭南麓向南,群落里虽然逐渐开始出现常绿树种,但数量极少,一直到大巴山中部,常绿阔叶树种才发生明显的增加,主要原因就是冬季低温限制了常绿阔叶树种的发育。
同时,常绿落叶阔叶混交林作为南北过渡带主体植被类型,表现出极其复杂的结构变化和地域分异,使其具有与暖温带落叶阔叶林和亚热带常绿阔叶林同等的地位,具有极大的科研价值。。
相关成果以“中国南北过渡带常绿落叶阔叶混交林的地域分异与地带性问题”为题,发表在信阳师范学院学报(自然科学版)上。中国科学院地理科学与资源研究所兼信阳生态研究院的研究员张百平为文章的第一作者兼通讯作者。
论文信息:
张百平,牛继强,刘俊杰,蒋娅,李佳宇.中国南北过渡带常绿落叶阔叶混交林的地域分异与地带性问题.信阳师范学院学报(自然科学版).2023,36(3):345-355.DOI:10.3969/j.issn.1003-0972.2023.03.001https://www.zhangqiaokeyan.com/academic-journal-cn_journal-xinyang-normal-university-natural-science-edition_thesis/02012101669728.html
天文地理爱好者协会学术部贾逸怡、张新苗供稿